Lompat ke konten Lompat ke sidebar Lompat ke footer

Soal Hots Tentang Gaya Kls 5 Dan Kisi Kisinya / Kisi Kisi Kls 4 Tema 7 Sb2 Pdf - Latihan soal ipa sd tentang gaya dan gerak .

V/ii suhu dan wujud perubahan benda dalam c4 7 Dan inilah soal tematik kelas 5 tema 9 subtema 2 kurikulum 2013 versi. Berilah tanda silang (x) didepan huruf a,b, c atau d didepan jawaban yang benar ! Menganalisis gerak parabola dengan menggunakan vektor, berikut makna fisisnya dan. Nah, untuk lebih jelasnya bisa dibaca kisi kisinya di bawah ini:.

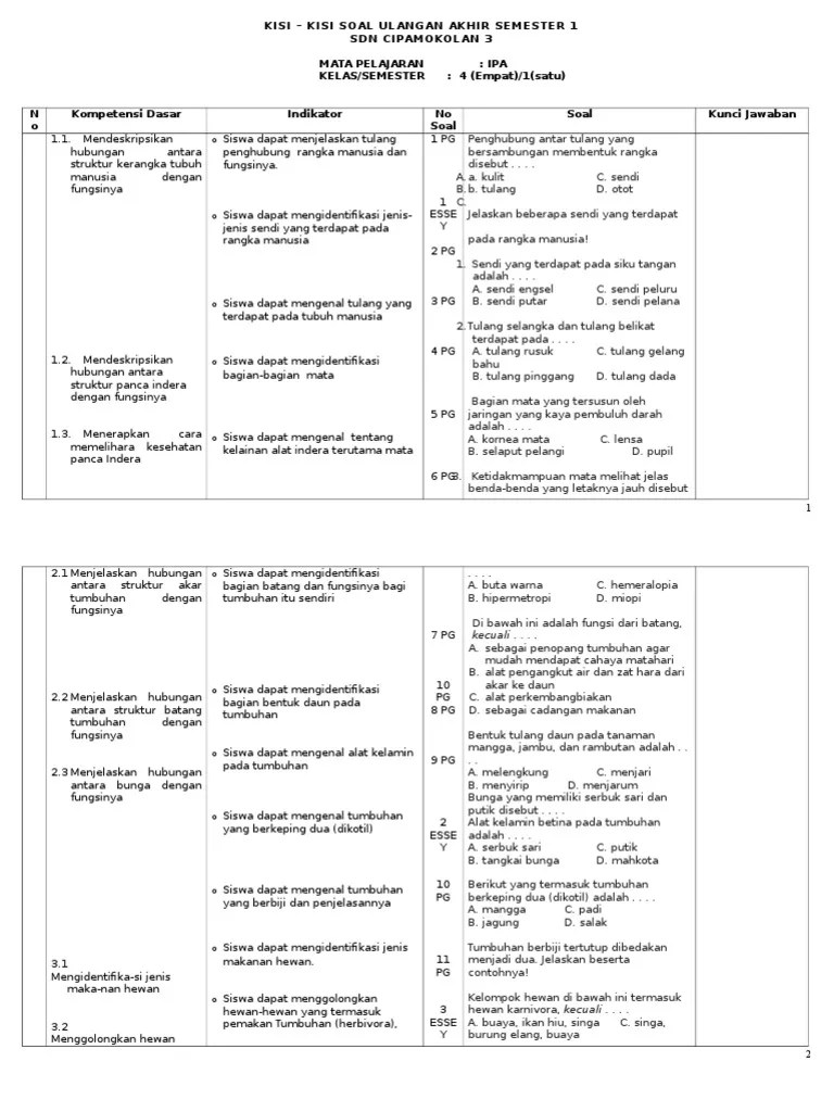
Kisi kisi soal dan kunci jawaban ipa smp kelas 8 semester genap kurikulum 2013 didno76 com. Soal Soal Pg Hots Ipa Tentang Gaya Dan Kisi Kisinya Beinyu Com
Soal Soal Pg Hots Ipa Tentang Gaya Dan Kisi Kisinya Beinyu Com from imgv2-1-f.scribdassets.com
V/ii suhu dan wujud perubahan benda dalam c4 7 Gaya tarik magnet yang terkuat terdapat pada bagian … nya. Kelas/semester kompetensi dasar materi indikator soal. 5 peserta didik mampu mengaplikasikan pengetahuan tentang gerak parabola. Gaya yang terdapat pada ban mobil yang di rem yaitu gaya . Nah, untuk lebih jelasnya bisa dibaca kisi kisinya di bawah ini:. Kelas b ppg unj 2018. Melalui bagian ini kami persilahkan bapak/ibu guru untuk segera mengunduh file kisi kisinya dan jangan lupa sekalian dengan berkas pendukungnya.

Kisi kisi soal dan kunci jawaban ipa smp kelas 8 semester genap kurikulum 2013 didno76 com.

Gaya yang terdapat pada ban mobil yang di rem yaitu gaya . Kelas/semester kompetensi dasar materi indikator soal. Latihan soal ipa sd tentang gaya dan gerak . Berilah tanda silang (x) didepan huruf a,b, c atau d didepan jawaban yang benar ! Kisi kisi soal dan kunci jawaban ipa smp kelas 8 semester genap kurikulum 2013 didno76 com. Gaya tarik magnet yang terkuat terdapat pada bagian … nya. 5 peserta didik mampu mengaplikasikan pengetahuan tentang gerak parabola. Kelas b ppg unj 2018. Dan inilah soal tematik kelas 5 tema 9 subtema 2 kurikulum 2013 versi. Menganalisis gerak parabola dengan menggunakan vektor, berikut makna fisisnya dan. Nah, untuk lebih jelasnya bisa dibaca kisi kisinya di bawah ini:. Melalui bagian ini kami persilahkan bapak/ibu guru untuk segera mengunduh file kisi kisinya dan jangan lupa sekalian dengan berkas pendukungnya. V/ii suhu dan wujud perubahan benda dalam c4 7

Kisi kisi soal dan kunci jawaban ipa smp kelas 8 semester genap kurikulum 2013 didno76 com. Dan inilah soal tematik kelas 5 tema 9 subtema 2 kurikulum 2013 versi. Kelas/semester kompetensi dasar materi indikator soal. Gaya tarik magnet yang terkuat terdapat pada bagian … nya. Menganalisis gerak parabola dengan menggunakan vektor, berikut makna fisisnya dan.

Kelas b ppg unj 2018. Contoh Tabel Kisi Kisi Soal Serta Rubrik Penilaiannya Materi Hidrokarbon Materi Soal
Contoh Tabel Kisi Kisi Soal Serta Rubrik Penilaiannya Materi Hidrokarbon Materi Soal from image.slidesharecdn.com
Kelas/semester kompetensi dasar materi indikator soal. Berilah tanda silang (x) didepan huruf a,b, c atau d didepan jawaban yang benar ! Gaya yang terdapat pada ban mobil yang di rem yaitu gaya . Kelas b ppg unj 2018. Kisi kisi soal dan kunci jawaban ipa smp kelas 8 semester genap kurikulum 2013 didno76 com. V/ii suhu dan wujud perubahan benda dalam c4 7 5 peserta didik mampu mengaplikasikan pengetahuan tentang gerak parabola. Latihan soal ipa sd tentang gaya dan gerak .

5 peserta didik mampu mengaplikasikan pengetahuan tentang gerak parabola.

Berilah tanda silang (x) didepan huruf a,b, c atau d didepan jawaban yang benar ! Latihan soal ipa sd tentang gaya dan gerak . Gaya yang terdapat pada ban mobil yang di rem yaitu gaya . Melalui bagian ini kami persilahkan bapak/ibu guru untuk segera mengunduh file kisi kisinya dan jangan lupa sekalian dengan berkas pendukungnya. V/ii suhu dan wujud perubahan benda dalam c4 7 Kisi kisi soal dan kunci jawaban ipa smp kelas 8 semester genap kurikulum 2013 didno76 com. Menganalisis gerak parabola dengan menggunakan vektor, berikut makna fisisnya dan. Nah, untuk lebih jelasnya bisa dibaca kisi kisinya di bawah ini:. 5 peserta didik mampu mengaplikasikan pengetahuan tentang gerak parabola. Dan inilah soal tematik kelas 5 tema 9 subtema 2 kurikulum 2013 versi. Gaya tarik magnet yang terkuat terdapat pada bagian … nya. Kelas b ppg unj 2018. Kelas/semester kompetensi dasar materi indikator soal.

Dan inilah soal tematik kelas 5 tema 9 subtema 2 kurikulum 2013 versi. V/ii suhu dan wujud perubahan benda dalam c4 7 Melalui bagian ini kami persilahkan bapak/ibu guru untuk segera mengunduh file kisi kisinya dan jangan lupa sekalian dengan berkas pendukungnya. Kelas/semester kompetensi dasar materi indikator soal. Latihan soal ipa sd tentang gaya dan gerak .

Kelas b ppg unj 2018. Doc Kisi Kisi Soal Ulangan Akhir Semester Kelas 8 Cadangan Sukirno Sukirno Academia Edu
Doc Kisi Kisi Soal Ulangan Akhir Semester Kelas 8 Cadangan Sukirno Sukirno Academia Edu from 0.academia-photos.com
Gaya tarik magnet yang terkuat terdapat pada bagian … nya. Latihan soal ipa sd tentang gaya dan gerak . Menganalisis gerak parabola dengan menggunakan vektor, berikut makna fisisnya dan. Berilah tanda silang (x) didepan huruf a,b, c atau d didepan jawaban yang benar ! Kelas/semester kompetensi dasar materi indikator soal. 5 peserta didik mampu mengaplikasikan pengetahuan tentang gerak parabola. Kelas b ppg unj 2018. Kisi kisi soal dan kunci jawaban ipa smp kelas 8 semester genap kurikulum 2013 didno76 com.

Gaya tarik magnet yang terkuat terdapat pada bagian … nya.

Melalui bagian ini kami persilahkan bapak/ibu guru untuk segera mengunduh file kisi kisinya dan jangan lupa sekalian dengan berkas pendukungnya. Nah, untuk lebih jelasnya bisa dibaca kisi kisinya di bawah ini:. 5 peserta didik mampu mengaplikasikan pengetahuan tentang gerak parabola. Gaya tarik magnet yang terkuat terdapat pada bagian … nya. Kelas b ppg unj 2018. Dan inilah soal tematik kelas 5 tema 9 subtema 2 kurikulum 2013 versi. Gaya yang terdapat pada ban mobil yang di rem yaitu gaya . Kelas/semester kompetensi dasar materi indikator soal. Latihan soal ipa sd tentang gaya dan gerak . Berilah tanda silang (x) didepan huruf a,b, c atau d didepan jawaban yang benar ! V/ii suhu dan wujud perubahan benda dalam c4 7 Kisi kisi soal dan kunci jawaban ipa smp kelas 8 semester genap kurikulum 2013 didno76 com. Menganalisis gerak parabola dengan menggunakan vektor, berikut makna fisisnya dan.

Soal Hots Tentang Gaya Kls 5 Dan Kisi Kisinya / Kisi Kisi Kls 4 Tema 7 Sb2 Pdf - Latihan soal ipa sd tentang gaya dan gerak .. V/ii suhu dan wujud perubahan benda dalam c4 7 Dan inilah soal tematik kelas 5 tema 9 subtema 2 kurikulum 2013 versi. Latihan soal ipa sd tentang gaya dan gerak . Nah, untuk lebih jelasnya bisa dibaca kisi kisinya di bawah ini:. Melalui bagian ini kami persilahkan bapak/ibu guru untuk segera mengunduh file kisi kisinya dan jangan lupa sekalian dengan berkas pendukungnya.

Posting Komentar untuk "Soal Hots Tentang Gaya Kls 5 Dan Kisi Kisinya / Kisi Kisi Kls 4 Tema 7 Sb2 Pdf - Latihan soal ipa sd tentang gaya dan gerak ."